贵州医科大学第三附属医院关于发布2023年公开招聘合同制护理人员笔试成绩、进入 面试人员名单公示及面试安排通知
发布日期:2023-08-22 18:18:00
文章来源:组织人事科 作者:宋冰清 编辑:刘练 一审一校:刘练 管世娟 二审二校:屈娟 三审三校:杨胜丽 浏览量:1847
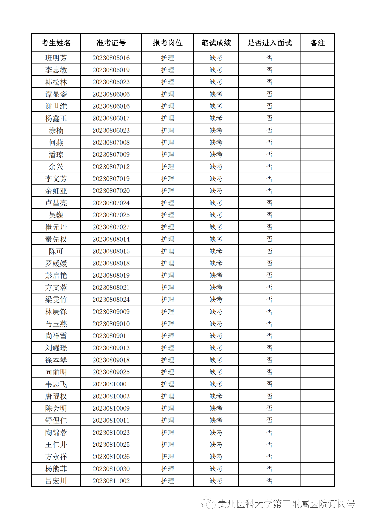
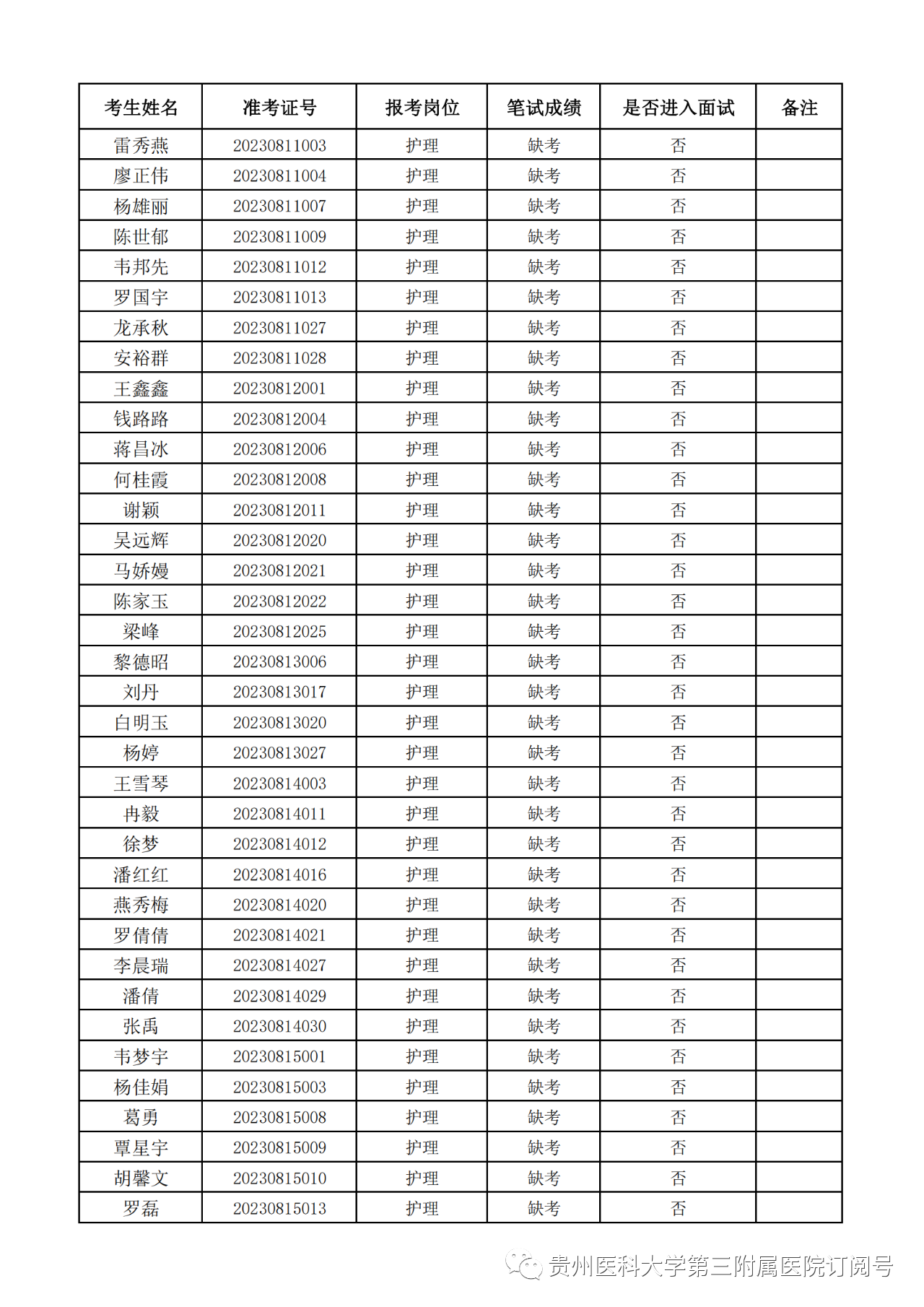
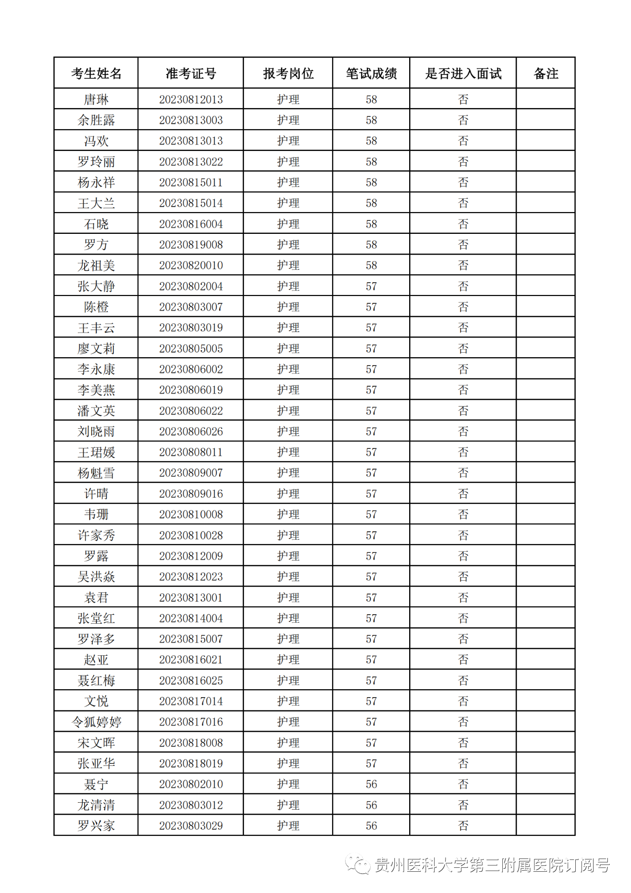
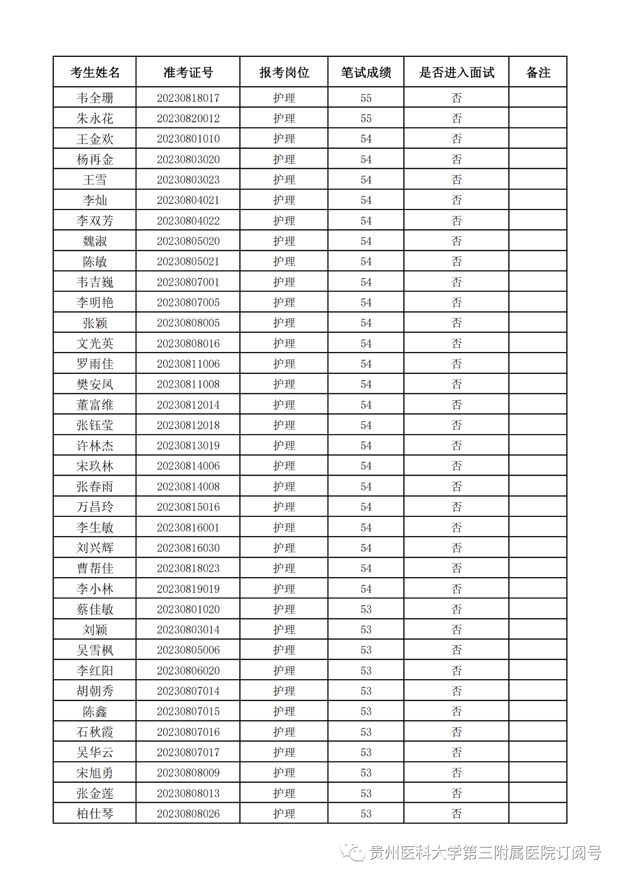
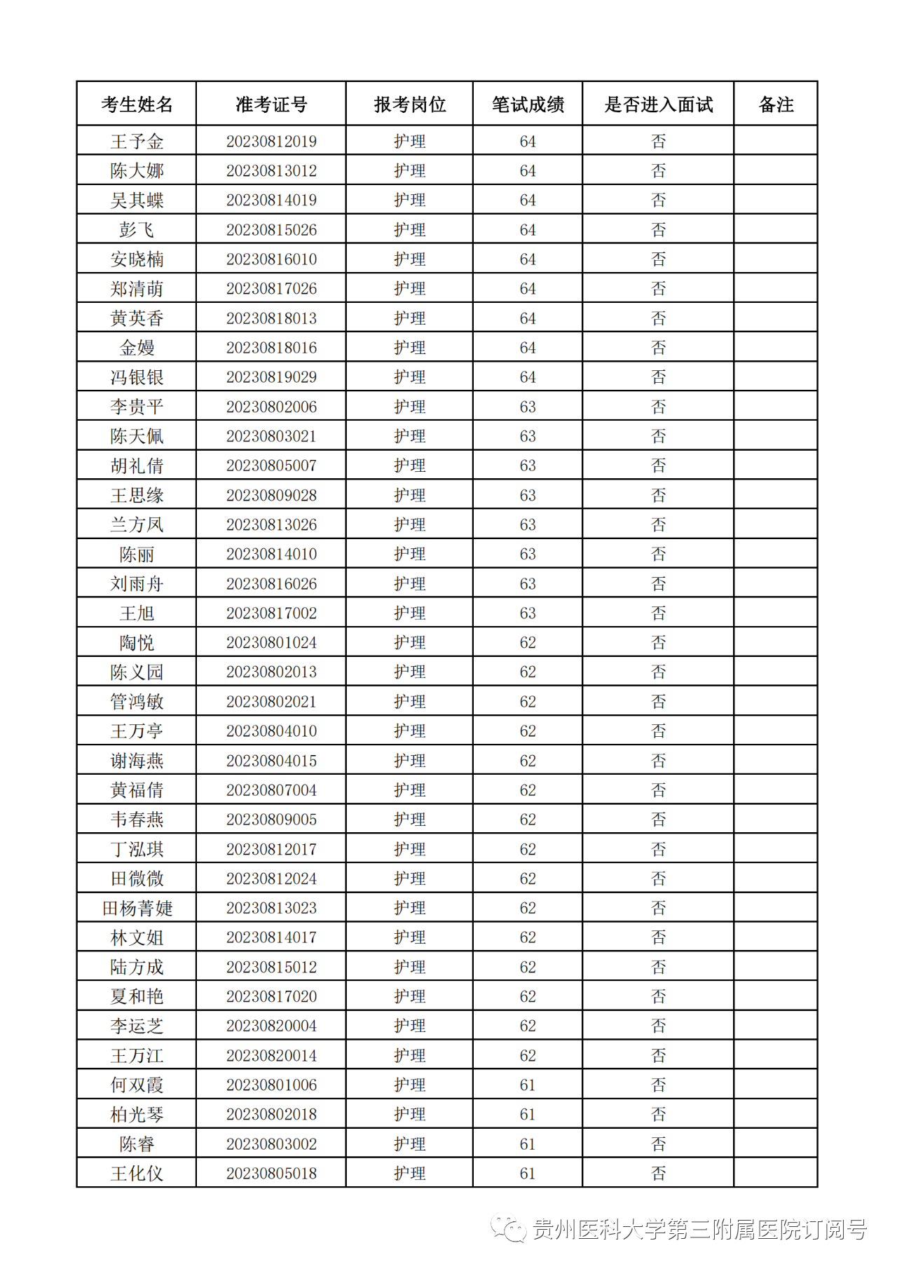
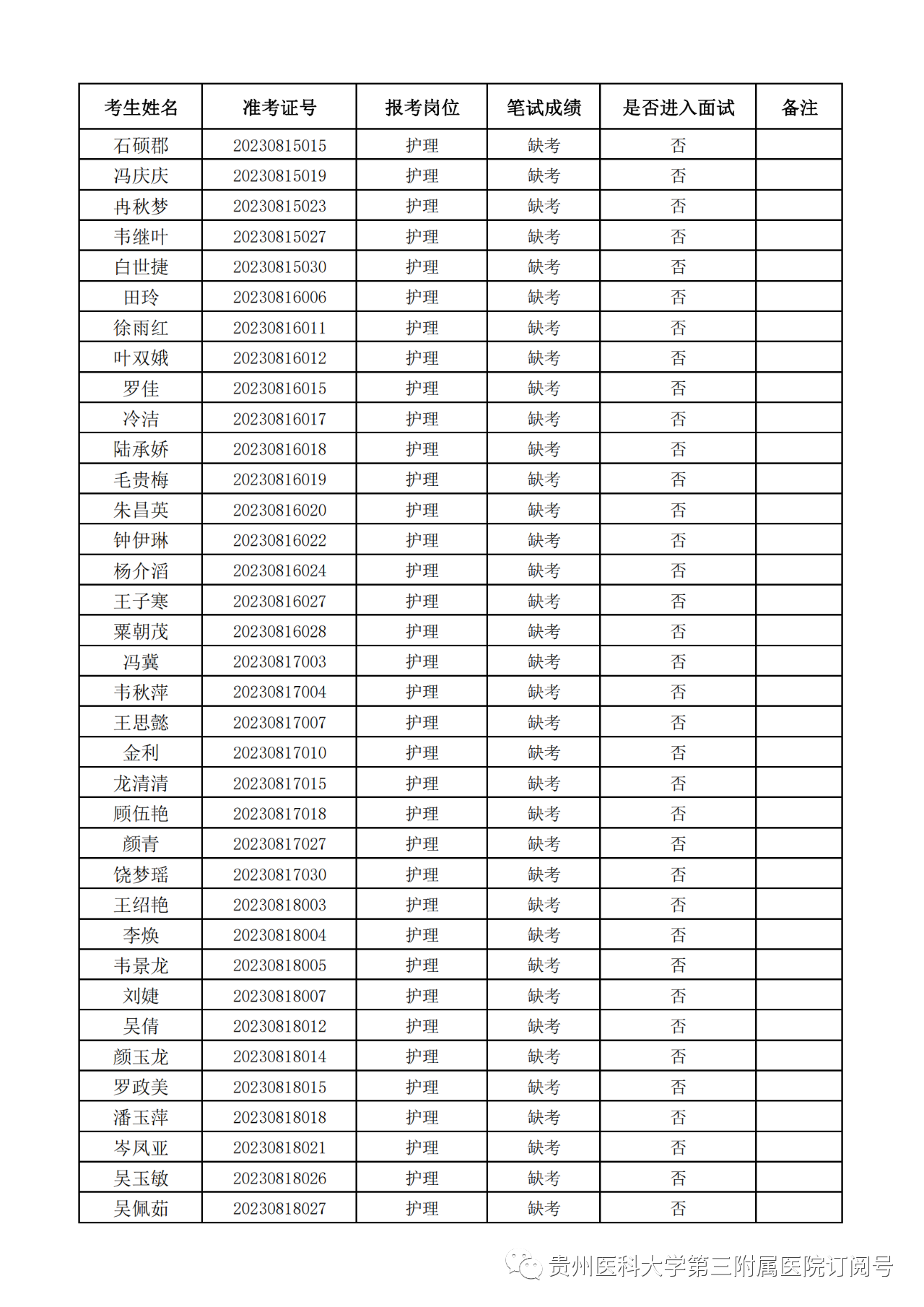
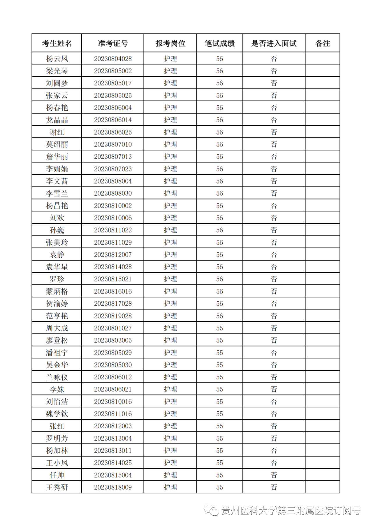
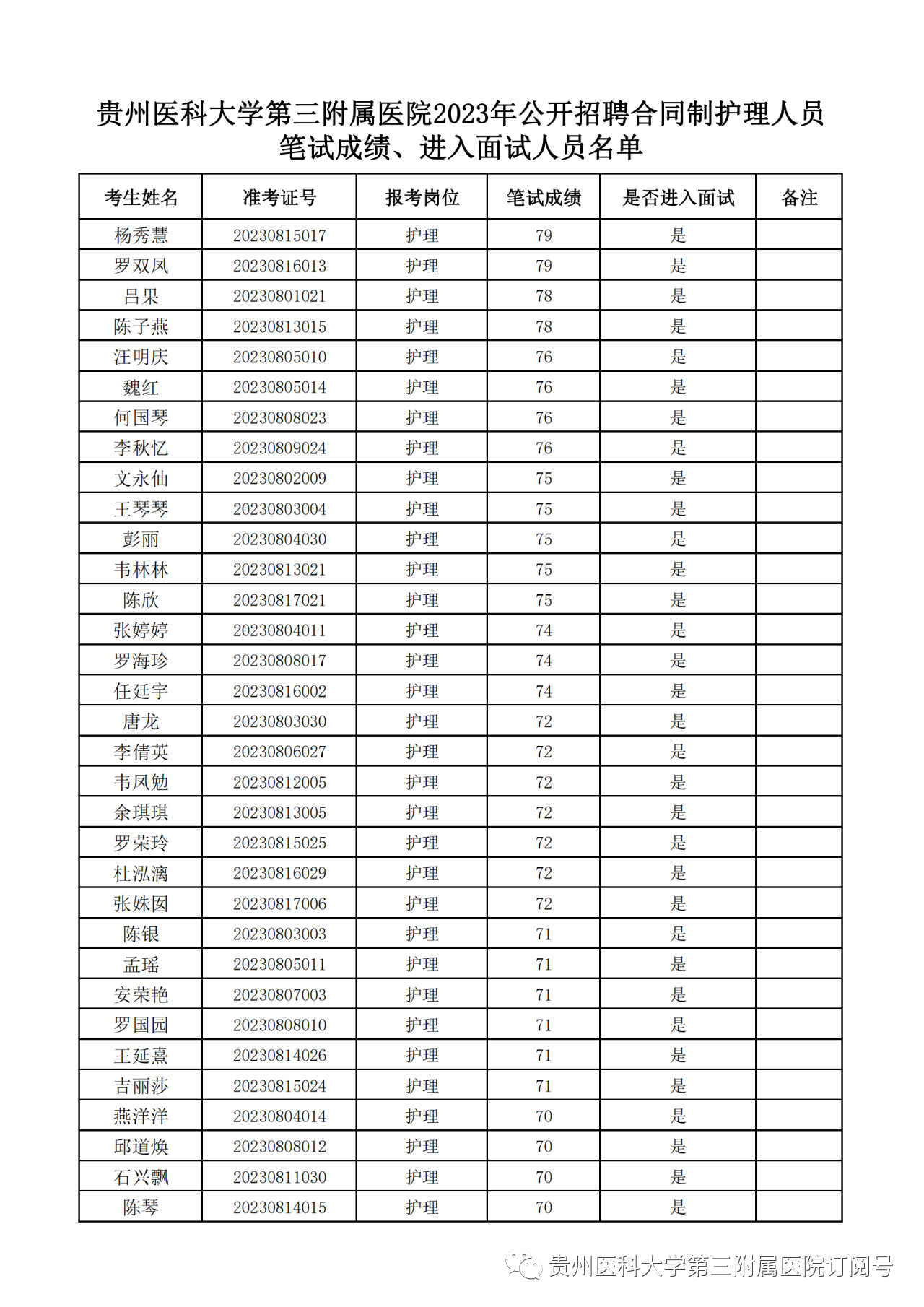
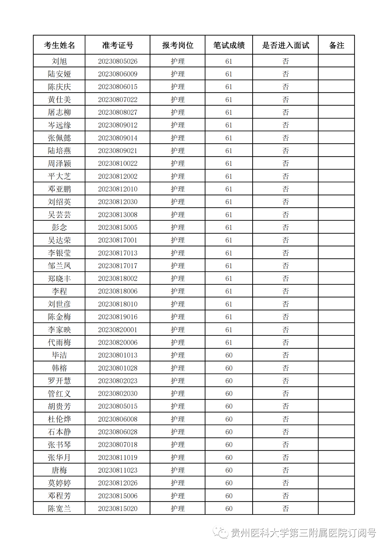
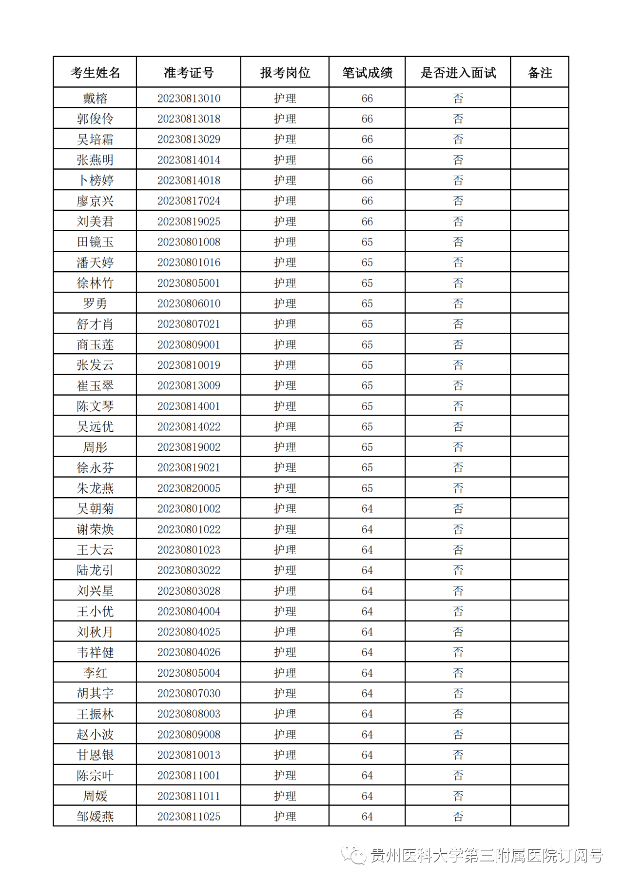
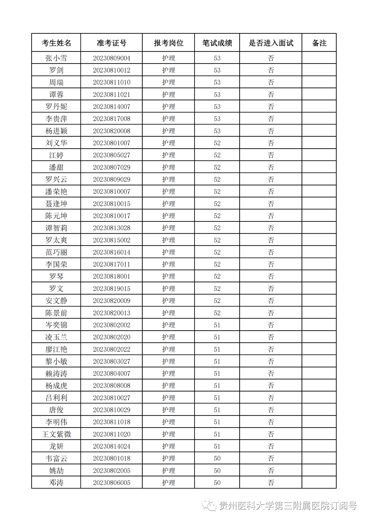
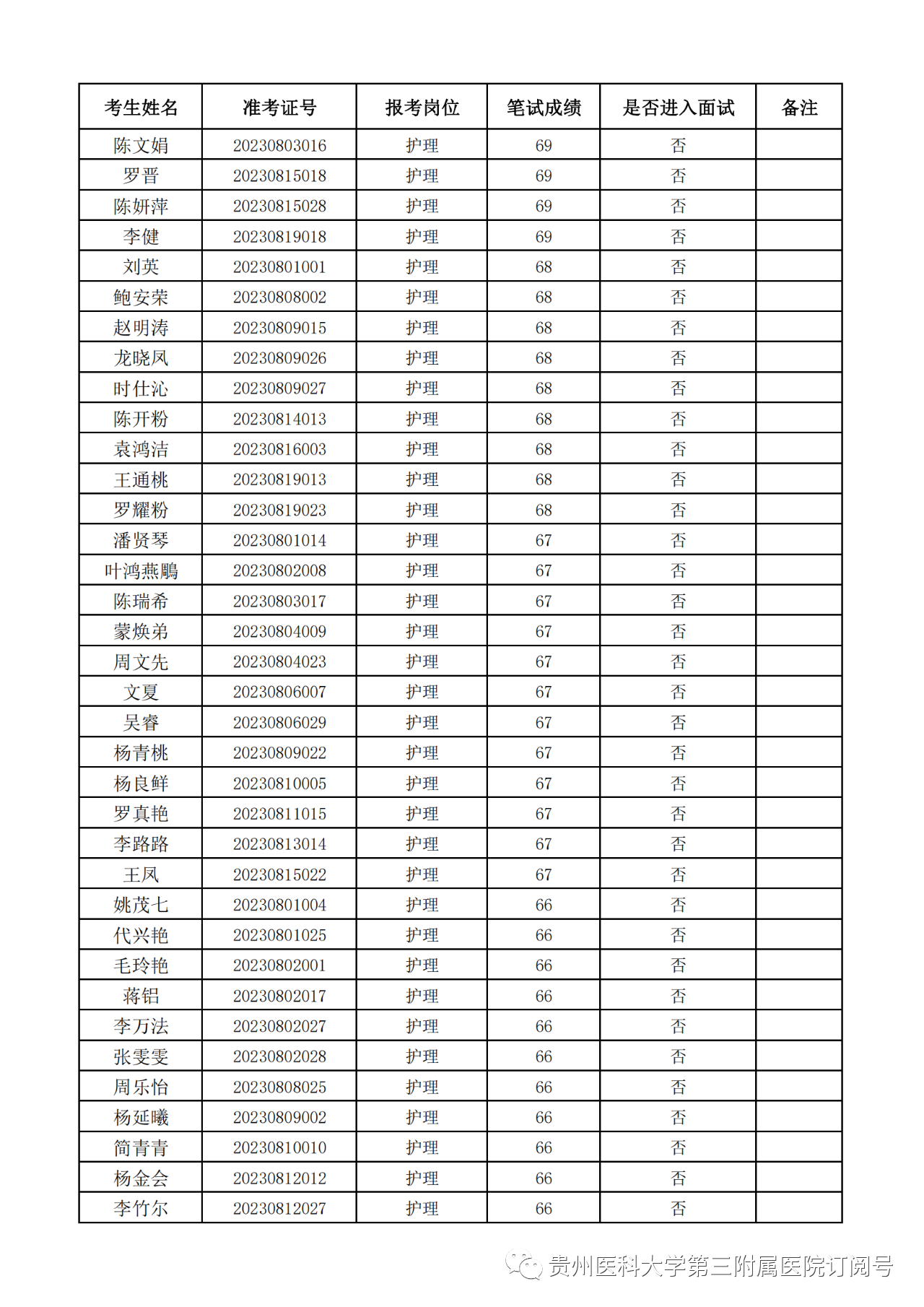
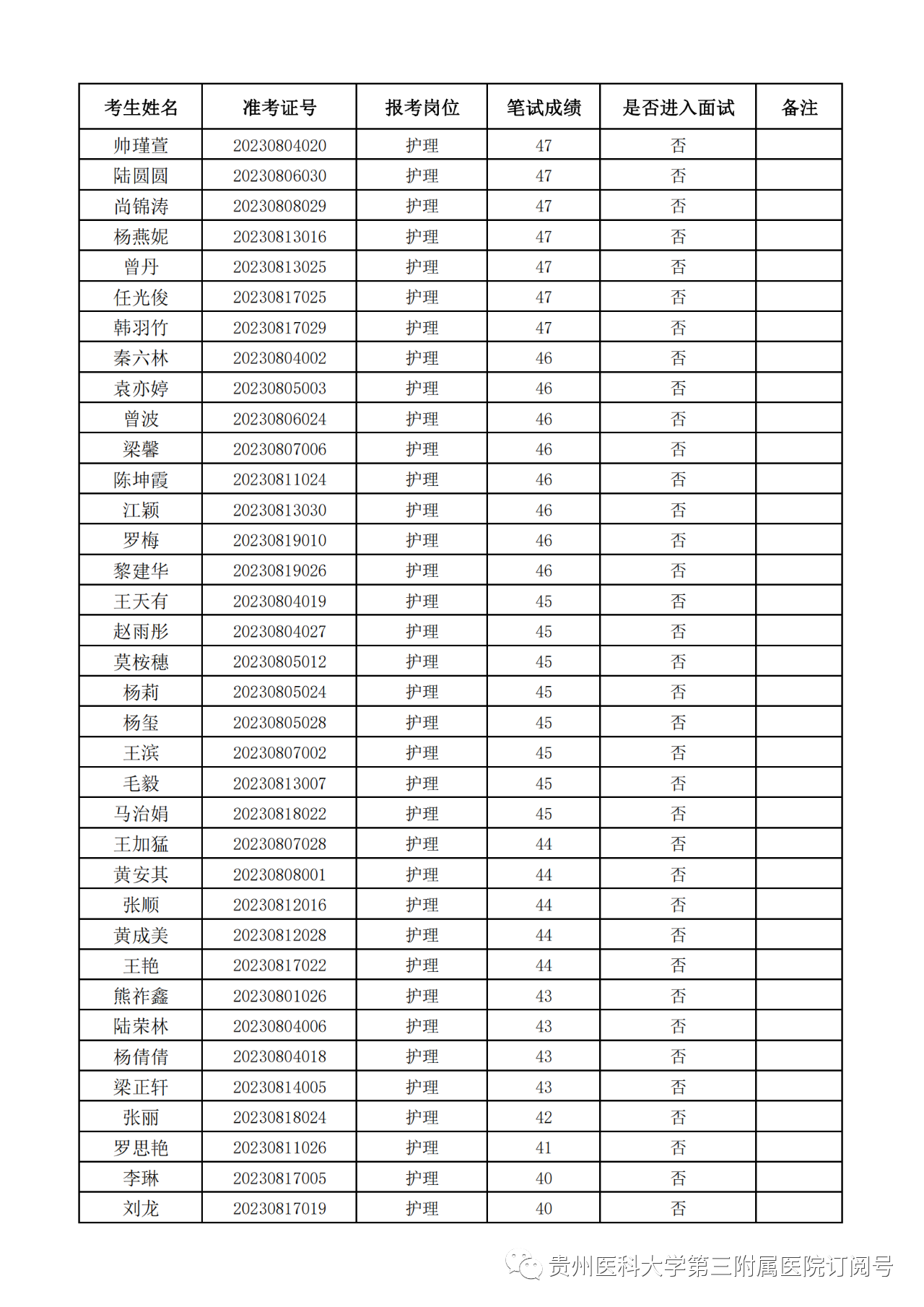
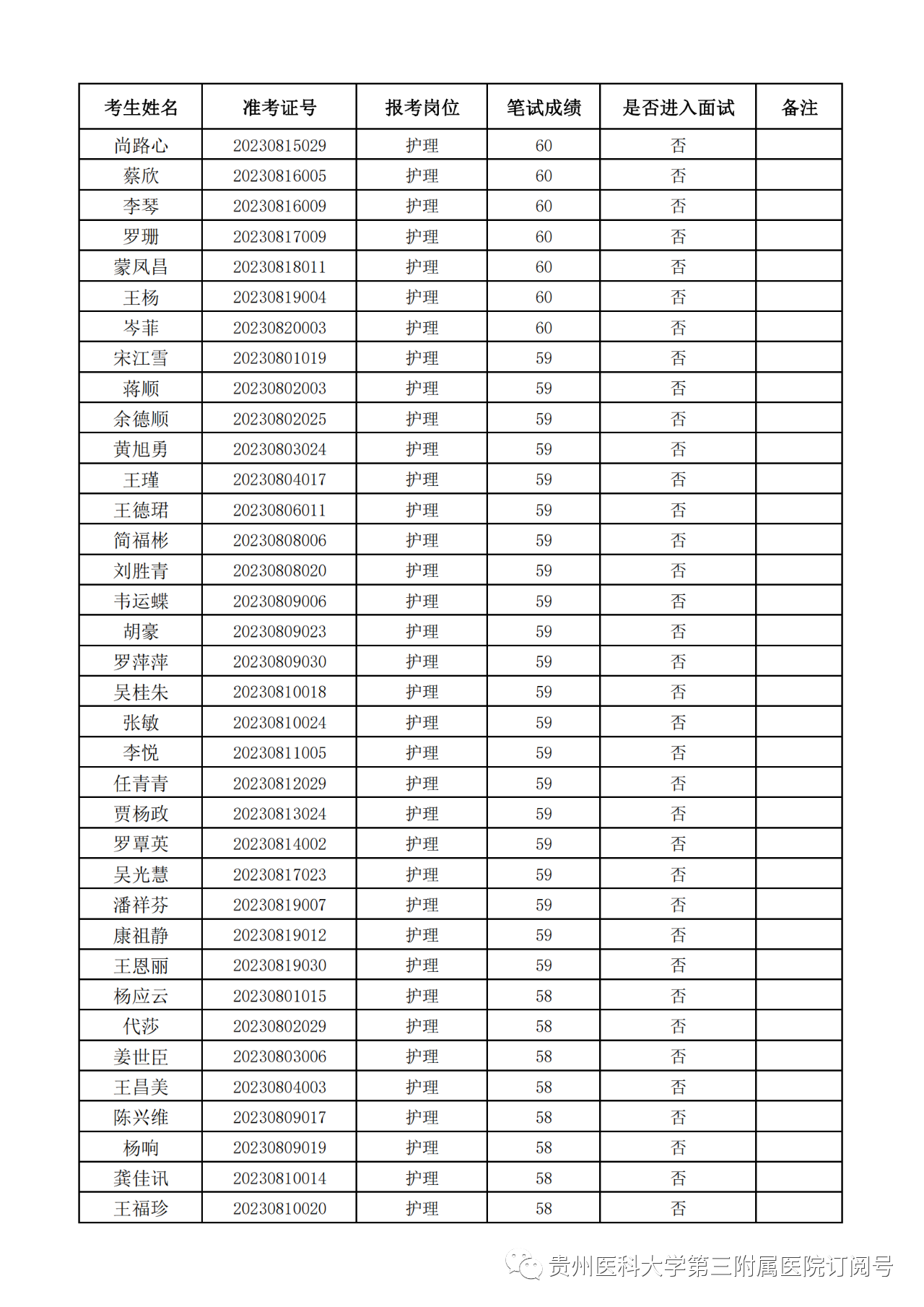
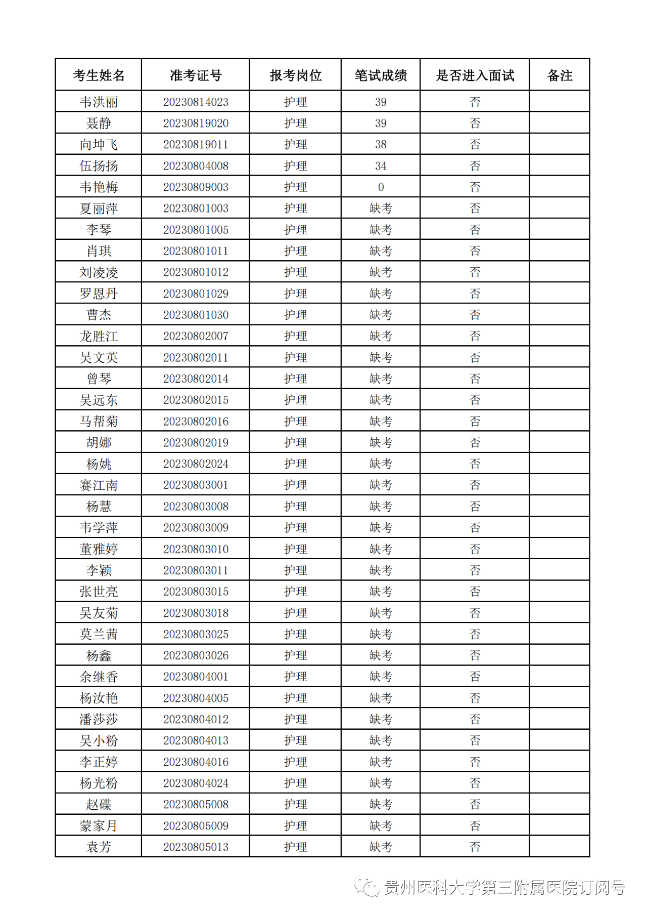
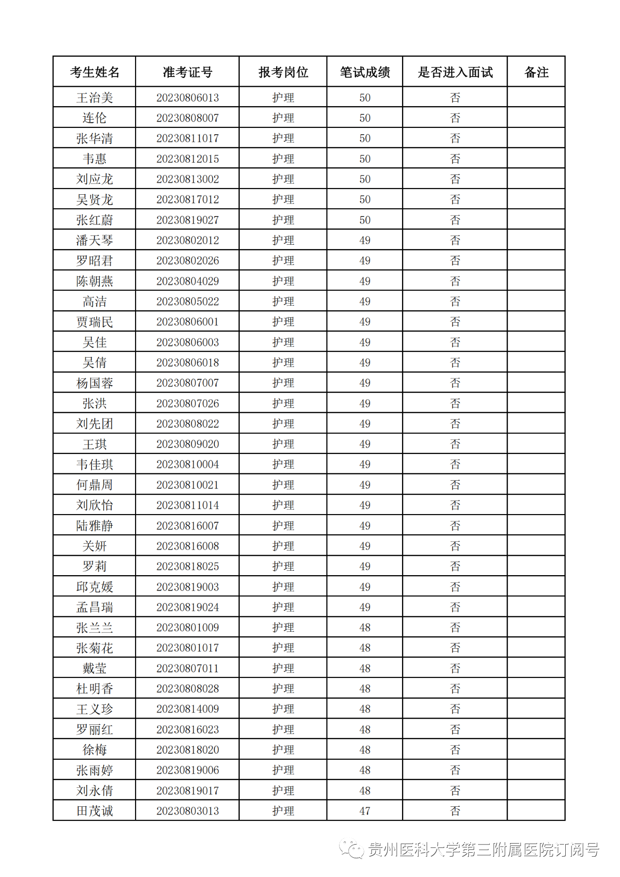
按照《贵州医科大学第三附属医院2023年公开招聘合同制护理人员简章》,我单位2023年公开招聘合同制护理人员笔试工作已结束,现将笔试成绩、进入面试人员名单公示及面试有关事宜通知如下:贵州医科大学第三附属医院2023年公开招聘合同制护理人员笔试成绩、进入面试人员名单(详见附件);公示时间3个工作日(2023年8月22日至8月24日)。贵州省都匀市七星路七号贵州医科大学第三附属医院行政楼一楼1.时间:2023年8月25日(星期五)上午8:00—8:30(8:30签到准时结束);2.地点:贵州省都匀市七星路七号贵州医科大学第三附属医院行政楼一楼(一)考生必须严格按照规定时间凭本人有效身份证件到达面试地点签到和抽签,未携带本人有效身份证件者不能参加面试。面试当天上午8:30后不得再进入考点参加面试,如因个人原因未按时到场者视为本人自动放弃面试资格。(二)面试成绩总分为100分,应聘人员须达到70分及以上(百分制)才能进入下一环节。未参加面试的取消进入下一环节资格。(三)进入面试的考生严禁携带各种通讯工具(如手机及其他无线接收、传送设备等)和电子设备进入面试地点。已随身携带的,进入面试地点后必须上交考务人员统一管理,否则一律按违反考场纪律处理。(四)面试时只能报现场抽签号,不得将姓名等个人信息报告考官。咨询时间:上午8:30-11:30,下午14:30-17:30
附件:贵州医科大学第三附属医院2023年公开招聘合同制护理人员笔试成绩、进入面试人员名单.xlsx


